Якість послуг, теплове навантаження

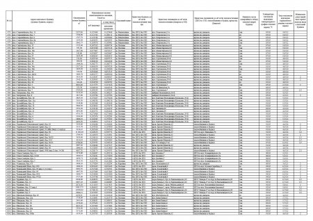
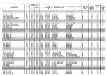
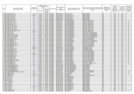
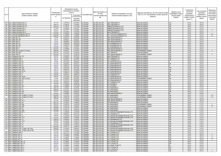
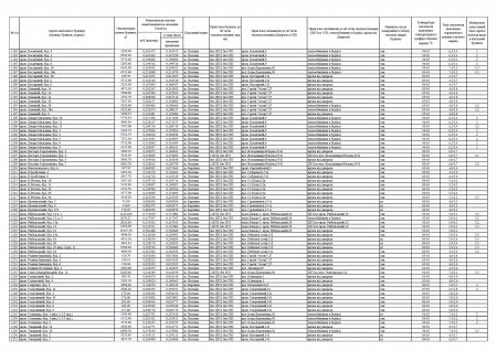
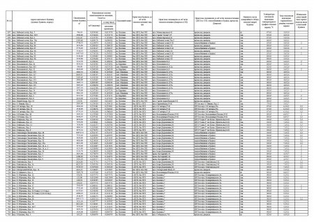
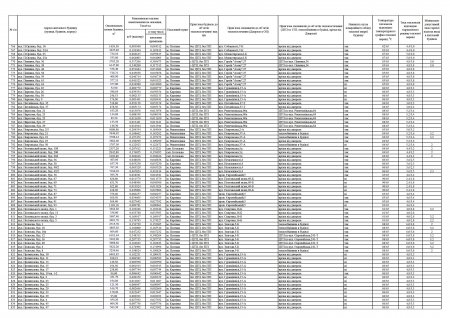
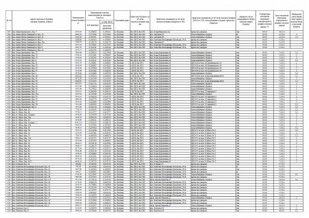
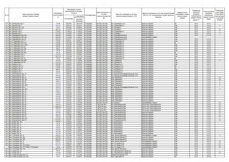
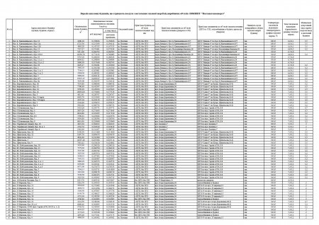
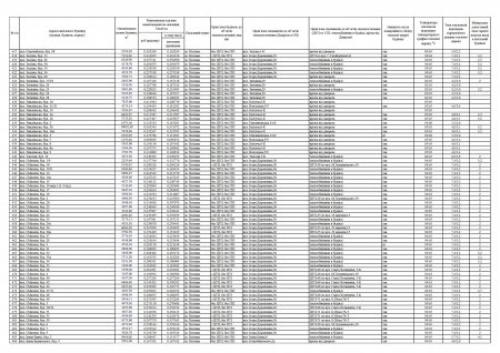
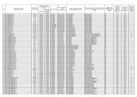
ПЕРЕЛІК ЖИТЛОВИХ БУДИНКІВ,
що отримують послуги
з централізованого теплопостачання
від виробничих об'єктів
ПОКВПТГ «Полтаватеплоенерго» 

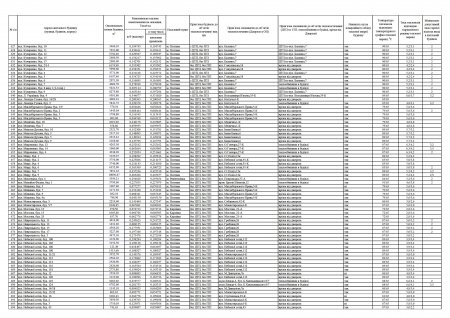
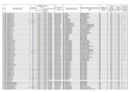
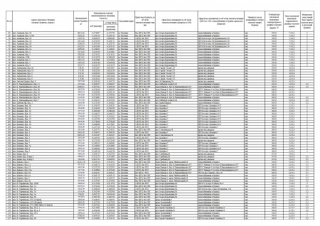
Якість послуг, теплове навантаження
Якість послуг, теплове навантаження
Якість послуг, теплове навантаження
Якість послуг, теплове навантаження
Якість послуг, теплове навантаження
Якість послуг, теплове навантаження
Якість послуг, теплове навантаження
Якість послуг, теплове навантаження
Якість послуг, теплове навантаження
Якість послуг, теплове навантаження
Якість послуг, теплове навантаження
Якість послуг, теплове навантаження
Якість послуг, теплове навантаження
Якість послуг, теплове навантаження
Якість послуг, теплове навантаження
Якість послуг, теплове навантаження
Якість послуг, теплове навантаження
Якість послуг, теплове навантаження
Якість послуг, теплове навантаження
Якість послуг, теплове навантаження

 


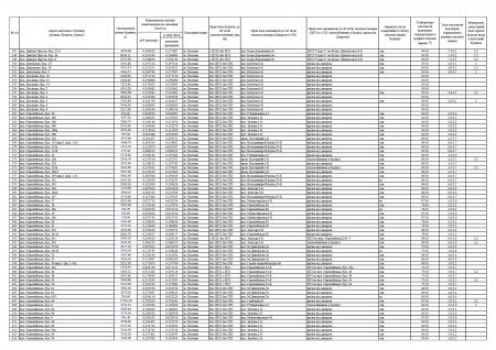
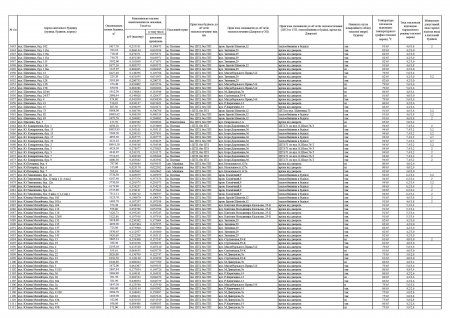
Кількісні та якісні характеристики надання  послуг з постачання теплової енергії та гарячої води, які враховуються під час здійснення перерахунку 

 

Якість послуг, теплове навантаження

 


 


ВИТЯГ З ПОРЯДОКУ ПРОВЕДЕННЯ ПЕРЕВІРКИ ВІДПОВІДНОСТІ ЯКОСТІ НАДАННЯ ДЕЯКИХ КОМУНАЛЬНИХ ПОСЛУГ ТА ПОСЛУГ З УПРАВЛІННЯ БАГАТОКВАРТИРНИМ БУДИНКОМ ПАРАМЕТРАМ,ПЕРЕДБАЧЕНИМ ДОГОВОРОМ ПРО НАДАННЯ ВІДПОВІДНИХ ПОСЛУГ В ЧАСТИНІ ПОСЛУГИ З ПОСТАЧАННЯ ТЕПЛОВОЇ ЕНЕРГІЇ І ГАРЯЧОЇ ВОДИ 

Загальна частина
 
1. Цей Порядок визначає механізм проведення перевірки відповідності якості надання послуг з постачання теплової енергії, постачання гарячої води, централізованого водопостачання, централізованого водовідведення, управління побутовими відходами в частині здійснення операцій збирання та перевезення побутових відходів (далі - комунальні послуги) та послуг з управління багатоквартирним будинком параметрам, передбаченим договором про надання відповідних послуг, з метою оцінки їх відповідності основним вимогам до кількості та якості і вжиття заходів до забезпечення надійності та безпеки під час надання комунальних послуг та послуг з управління багатоквартирним будинком.

Дія цього Порядку поширюється на споживачів комунальних послуг та послуг з управління багатоквартирним будинком, виконавців комунальних послуг та управителів багатоквартирних будинків.

У цьому Порядку терміни вживаються у значенні, наведеному в Законах України "Про питну воду, питне водопостачання та водовідведення”, "Про комерційний облік теплової енергії та водопостачання”, "Про державне регулювання у сфері комунальних послуг”, "Про житлово-комунальні послуги”, "Про теплопостачання”, "Про особливості здійснення права власності у багатоквартирному будинку” та "Про управління відходами”.

2. У разі ненадання, надання не в повному обсязі або неналежної якості комунальних послуг споживач або управитель багатоквартирного будинку (за дорученням співвласників багатоквартирного будинку в разі прийняття ними відповідного рішення) має право викликати виконавців комунальних послуг (їх представників) для перевірки якості та/або кількості наданих послуг.
У разі ненадання, надання не в повному обсязі або неналежної якості послуг з управління багатоквартирним будинком споживач має право викликати управителя багатоквартирного будинку для перевірки якості наданих послуг.

3. Проведення перевірки відповідності якості надання комунальних послуг або послуг з управління багатоквартирним будинком параметрам, передбаченим договором про надання відповідних послуг, забезпечується виконавцем комунальної послуги або управителем багатоквартирного будинку.
Споживач також має право звернутися до відповідних уповноважених державних органів за захистом порушених прав щодо якості надання комунальних послуг та/або послуг з управління багатоквартирним будинком.

4. Для проведення перевірки відповідності якості надання комунальних послуг або послуг з управління багатоквартирним будинком параметрам, передбаченим договором про надання відповідних послуг, споживач звертається до виконавця комунальної послуги або управителя багатоквартирного будинку в усній формі особисто, за допомогою телефонного зв’язку або в письмовій формі за поштовою або електронною адресою, що зазначена в договорі про надання відповідних послуг, з претензією про невідповідність кількісних та/або якісних показників послуг.

У зверненні обов’язково зазначається прізвище, ім’я та по батькові, місце фактичного проживання споживача, а також найменування ненаданої, наданої не в повному обсязі або неналежної якості послуги.
Звернення споживача обов’язково реєструється виконавцем комунальної послуги або управителем багатоквартирного будинку в журналі реєстрації заявок споживачів.
Виконавець комунальної послуги або управитель багатоквартирного будинку зобов’язаний на вимогу споживача надати в усній формі особисто, за допомогою телефонного зв’язку або в письмовій формі за поштовою або електронною адресою, що зазначена в договорі про надання відповідної послуги, інформацію про прізвище, ім’я та по батькові, посаду особи, яка прийняла звернення, його реєстраційний номер та час прийняття.

5. Для проведення перевірки відповідності якості надання комунальних послуг та/або послуг з управління багатоквартирним будинком параметрам, передбаченим договором про надання відповідних послуг, виконавець комунальної послуги або управитель багатоквартирного будинку зобов’язаний прибути на виклик споживача у строки, визначені в договорі про надання відповідних послуг, але не пізніше ніж протягом однієї доби з моменту отримання претензії споживача.

6. Відбір проб та проведення дослідження якості питної води здійснюється в установленому порядку.

7. У разі необхідності проведення перевірки відповідності якості надання комунальних послуг або послуг з управління багатоквартирним будинком споживач зобов’язаний забезпечити виконавцю комунальної послуги (його представнику) або управителю багатоквартирного будинку доступ до житла, іншого належного такому споживачу об’єкта нерухомого майна у порядку, передбаченому статтею 29 Закону України "Про житлово-комунальні послуги”. За результатами перевірки складається акт-претензія за формою згідно з додатком.
Відмова споживача в наданні виконавцю комунальної послуги (його представнику) або управителю багатоквартирного будинку доступу до житла, іншого належного такому споживачу об’єкта нерухомого майна є підставою для відмови в задоволенні претензії споживача.

8. У разі встановлення під час перевірки фактів невідповідності якості надання комунальних послуг або послуг з управління багатоквартирним будинком параметрам, передбаченим договором про надання відповідних послуг, в акті-претензії зазначаються дата і час проведення перевірки, виявлені факти невідповідності якості надання комунальних послуг або послуг з управління багатоквартирним будинком параметрам, передбаченим договором про надання відповідних послуг, інформація про дату початку зниження якості відповідної послуги.

Якщо під час перевірки факти невідповідності якості надання комунальних послуг або послуг з управління багатоквартирним будинком параметрам, передбаченим договором про надання відповідних послуг, не підтверджено, в акті-претензії зазначається інформація про відсутність фактів невідповідності якості комунальних послуг або послуг з управління багатоквартирним будинком.
В акті-претензії зазначаються також виявлені під час його складання додаткові факти невідповідності якості надання комунальних послуг або послуг з управління багатоквартирним будинком параметрам, передбаченим договором про надання відповідних послуг.
Акт-претензія складається у двох примірниках і підписується споживачем та виконавцем комунальної послуги (його представником) або управителем багатоквартирного будинку. Один примірник акта-претензії передається споживачеві, другий - зберігається у виконавця комунальної послуги (його представника) або управителя багатоквартирним будинком.

9. У разі коли за результатами проведення перевірки споживач та виконавець комунальних послуги або управитель багатоквартирного будинку не дійшли згоди щодо наявності (відсутності) факту невідповідності якості надання комунальних послуг або послуг з управління багатоквартирним будинком умовам або параметрам, передбаченим договором про надання відповідних послуг, та/або причин виникнення таких порушень або невідповідності, акт-претензія підписується із зауваженнями, які є його невід’ємною частиною.
Результати перевірки якості надання комунальних послуг та/або послуг з управління багатоквартирним будинком можуть бути оскаржені в судовому порядку.

10. У разі неприбуття виконавця комунальної послуги (його представника) або управителя багатоквартирного будинку в установлений договором про надання відповідних послуг строк для проведення перевірки відповідності якості надання комунальних послуг або послуг з управління багатоквартирним будинком параметрам, передбаченим зазначеним договором, чи необґрунтованої відмови від підписання акта-претензії такий акт вважається дійсним, якщо він підписаний споживачем та не менш як двома іншими споживачами відповідної послуги, які проживають у сусідніх будівлях (у приміщеннях - у разі, коли послуга надається у багатоквартирному будинку). Акт-претензія надсилається виконавцю комунальної послуги або управителю багатоквартирного будинку рекомендованим листом.

11. Акт-претензія реєструється виконавцем комунальної послуги або управителем багатоквартирним будинком у журналі реєстрації актів-претензій.
Виконавець комунальних послуг або управитель багатоквартирного будинку протягом п’яти робочих днів вирішує питання щодо задоволення вимог, викладених в акті-претензії, або надає споживачу обґрунтовану письмову відмову.
У разі ненадання виконавцем відповіді в установлений строк претензії споживача вважаються визнаними таким виконавцем.

12. Дата, з якої вважається, що комунальні послуги або послуги з управління багатоквартирним будинком надаються з порушенням вимог до їх якості, зазначається в акті-претензії.

13. Період порушення якості надання комунальних послуг та послуг з управління багатоквартирним будинком вважається припиненим з дати встановлення факту відновлення надання виконавцем комунальної послуги або управителем багатоквартирного будинку надання послуг належної якості та/або доведення інформації про це виконавцем комунальної послуги або управителем багатоквартирного будинку до відома споживача у спосіб, визначений договором про надання відповідних послуг, чи за погодженням із споживачем.

Перевірка якості надання послуги з постачання гарячої води

26. Під час проведення перевірки відповідності якості надання послуги з постачання гарячої води параметрам, передбаченим договором про надання такої послуги, виконавець комунальної послуги враховує:

1) безперервність надання послуги з постачання гарячої води;
2) дотримання нормативної температури гарячої води у точці її обліку;
3) відповідність показників якості питної води вимогам державних санітарних норм і правил;
4) відповідність тиску в точці обліку встановленим параметрам тиску.

27. Вимірювання тиску в системах централізованого постачання гарячої води здійснюється з 7 год. 00 хв. до 9 год. 00 хв. або з 19 год. 00 хв. до 22 год. 00 хвилин.
Вимірювання температури гарячої води здійснюється на металевій частині корпусу фільтра вузла розподільного обліку через одну хвилину після відкриття водорозбірного крана або за відсутності вузла обліку гарячої води - у точці водорозбору не раніше ніж через одну хвилину після відкриття водорозбірного крана.

28. За колективним договором, договором з колективним споживачем, індивідуальним договором, договором з власником (користувачем) будівлі про надання послуги з постачання гарячої води вимірювання тиску здійснюється на межі централізованих інженерно-технічних систем постачання послуги виконавця комунальної послуги та внутрішньобудинкових систем багатоквартирного будинку (будівлі). У разі порушення встановлених параметрів тиску відповідальною стороною є виконавець послуги з постачання гарячої води.

29. За індивідуальним договором про надання послуги з постачання гарячої води з обслуговуванням внутрішньобудинкових систем вимірювання тиску здійснюється на межі внутрішньобудинкових систем багатоквартирного будинку та інженерно-технічних систем приміщення споживача. У разі порушення встановлених параметрів тиску відповідальною стороною є виконавець послуги з постачання гарячої води.

30. Для встановлення факту безперервності надання послуги з постачання гарячої води перевіряється наявність перебоїв у наданні послуги з постачання гарячої води.

31. Під час проведення перевірки відповідності якості надання послуги з постачання гарячої води виконавець комунальної послуги організовує відбір проб води у таких місцях:

1) на межі приєднання централізованих інженерно-технічних систем постачання гарячої води до внутрішньобудинкових систем постачання гарячої води багатоквартирного будинку;
2) у внутрішньобудинкових системах постачання гарячої води багатоквартирного будинку;
3) в інженерно-технічних системах постачання гарячої води, розташованих у приміщенні споживача.

32. Інформація про забір проб включається до акта-претензії.

32-1. Під час проведення перевірки відповідності температури гарячої води встановленим параметрам мають бути використані дані щодо величини температури гарячої води та часу відхилень температури гарячої води від встановлених параметрів (зокрема дані електронного архіву) з вузлів обліку, якщо такі дані наявні.

Перевірка якості надання послуги з постачання теплової енергії

33. Під час проведення перевірки відповідності якості надання послуги з постачання теплової енергії параметрам, передбаченим договором про надання такої послуги, виконавець комунальної послуги враховує:

1) своєчасність початку і закінчення опалювального сезону;
2) безперервність надання послуги з постачання теплової енергії;
3) дотримання нормативної температури повітря у приміщеннях споживача (для приміщень, не оснащених вузлами розподільного обліку теплової енергії/приладами розподілювачами теплової енергії) у разі укладення індивідуального договору про надання послуги з постачання теплової енергії з обслуговуванням внутрішньобудинкових систем;
4) відповідність тиску теплоносія встановленим параметрам тиску;
5) відповідність температури теплоносія температурному графіку теплової мережі в частині температури подавального трубопроводу відповідно до умов договору.

34. Під час проведення перевірки відповідності якості надання послуги з постачання теплової енергії параметрам, передбаченим договором про надання такої послуги, виконавець послуги з постачання теплової енергії фіксує показники температури і тиску теплоносія та визначає їх відповідність або рівень відхилення параметрам, зазначеним у договорі:

за показаннями вузла (вузлів) комерційного обліку теплової енергії (зокрема за даними електронних архівів вузла (вузлів) комерційного обліку) у разі укладення договору з індивідуальним споживачем про надання послуги з постачання теплової енергії, договору з колективним споживачем про надання послуги з постачання теплової енергії, колективного договору про надання послуги з постачання теплової енергії, договору з власником (користувачем) будівлі про надання послуги з постачання теплової енергії;
за показаннями вузла (вузлів) розподільного обліку теплової енергії (зокрема за даними електронних архівів вузла (вузлів) розподільного обліку) у разі укладення індивідуального договору про надання послуги з постачання теплової енергії з обслуговуванням внутрішньобудинкових систем.

34-1. У разі відсутності вузла (вузлів) розподільного обліку теплової енергії в приміщенні споживача, з яким укладено індивідуальний договір про надання послуги з постачання теплової енергії з обслуговуванням внутрішньобудинкових систем, виконавець послуги з постачання теплової енергії фіксує температуру повітря у приміщеннях споживача та визначає відповідність або рівень відхилення зафіксованих показників температури нормативній температурі повітря у приміщеннях споживача.

 


  

АКТУАЛЬНО




КОРИСНО

ОФІЦІЙНО